[SKVA] 발성 수업 2강 - 고음은 성대가 얇고 길어지기 '때문에' 나는 것일까? (1/2) 보컬레슨
컨텐츠 정보
- 570 조회
- 4 댓글
- 3 추천
-
목록으로
본문
안녕하세요, SKVA입니다.
지난 1강에서는 과학적인 설명 방식을 차용하면서도 실제 원리는 간과하는 '카고 컬트 과학'의 위험성을 살펴보았습니다.
오늘은 발성 교육 현장에 깊게 자리 잡은 오해 하나를 발성 과학의 시각에서 다시금 점검해 보려 합니다.
이는 바로 "고음은 성대가 얇고 길어지기 때문에 난다"라는 설명입니다.
과연 고음이 나는 '원인'이 '성대가 얇아지고 길어지기 때문'인 게 맞을까요?
1.직관의 함정과 실제 변수
우리는 고무줄을 당길 때 고무줄이 얇아지고 길어지며 더 높은 소리가 나는 것을 관찰할 수 있습니다.
그래서 성대 역시 얇고 길어지기 '때문에' 고음이 나는 것이라고 오해하곤 합니다.
그러나, 고무줄도 충분히 강하게 당겼을 때는 길이가 늘어나는 것과 함께 내부에서 저항하는 힘도 크게 증가하여 음정이 높아지지만...

위의 그림처럼 적당히 당겼을 때는 실제로 길어지고 얇아졌음에도 음정이 오히려 더 낮게 나타날 수 있습니다.
즉, 음정 상승의 핵심 요소는 단순히 얇고 길어진 겉모습 자체가 아니라는 것입니다!
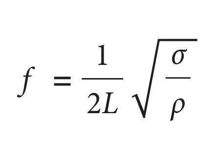
단순화한 성대의 기본 주파수 공식을 통해 이 부분에 대해 간단하게 알아보겠습니다.
여기서 f는 우리가 음정으로 듣는 핵심 진동수인 '기본 주파수'를 뜻합니다.
분모에 있는 L은 성대의 길이, 루트 안쪽의 σ는 조직 내부의 팽팽함인 응력, 그리고 ρ는 성대 조직의 밀도를 의미합니다.
이 식을 복잡하게 외우실 필요는 없습니다.
여기서 중요한 것은 두 가지입니다.
길이 L만 늘어나면 기본 주파수는 오히려 내려가고,
반대로 조직이 변형될 때 그 변화에 저항하는 내부의 힘인 응력 σ가 커지면 기본 주파수는 올라간다는 점입니다.
즉, 음정 상승은 단순히 얇아지거나 길어진 겉모습이 아니라 그 변형과 함께 응력이 얼마나 높아졌는가에 달렸습니다.
2.호흡 압력과 보상 전략의 한계
그리고 응력은 성대가 얇고 길게 늘어나는 변형을 통해서만 증가하지는 않습니다.
단면과 형태 등 성대의 여러 변화도 응력 증가로 이어질 수 있습니다.
그림에서 A는 비교적 변형이 적은 휴지기 상태를, B는 호흡 압력의 영향으로 성대가 외측으로 더 변형된 상태를 단순화해 보여줍니다.
중요한 것은 변형된 모습 자체보다, 이러한 변형 과정에서 성대의 진동 조건과 응력이 함께 달라질 수 있다는 점입니다.
이처럼 호흡 압력도 결과에 영향을 주는 '보조 변수'로 작용합니다.
호흡 압력이 커지면 성대의 모양이 더욱 바깥쪽으로 밀리며 변형되고, 그 과정에서 응력도 함께 변동될 수 있습니다.
특히 기본적으로 성대 조직이 덜 팽팽한 저음 구간에서는 이런 변화가 음정 상승에 비교적 크게 작용할 수 있는데,
그래서 많은 사람이 중저음에서는 압력으로 밀어붙여 음정을 올리는 기술을 체득하게 되는 것이죠.
하지만 그 방식을 더욱 높은 고음까지 그대로 고수하면 결국 한계에 부딪히기 쉽습니다.
3.정리

정리하겠습니다.
음정 변화의 핵심은, 성대가 얇아지거나 길어지는 변형 자체가 아니라 변형을 통한 응력의 변동입니다.
과학적인 설명을 하거나 용어를 차용하기 전에, 실제로 어떤 변수들이 작용하는지에 대해 항상 고민해 보아야 합니다.
다음 편에서는 내후두근의 작용을 통해 성대의 두께와 길이 변화가 응력 증감과 어떻게 연결되는지,
그리고 이러한 밸런스가 무너졌을 때 발생하는 피치 브레이크(삑사리)가 어떤 맥락에서 나타나는지를 조금 더 쉽고 자세히 다뤄 보겠습니다.
*본 편에서 새로이 언급된 변수인 '응력'을 본인의 발성 훈련 설명에 욱여넣는 것은 또 다른 오류를 낳을 수 있으니 조심해야겠지요? ㅎㅎ
본문의 영상을 통해 더 자세한 내용을 확인해 보세요!
문의 및 제안
인스타그램: @skvocology
카카오톡 플러스친구: http://pf.kakao.com/_Txdxain
관련자료
-
링크
-
이전
-
다음

































